当前位置:首页>>樱桃视频APP污下载入口网站资讯
不同安装方式对于压力/差压液位樱桃视频入口在线观看液位测量精度的影响
发表时间:2019-05-11| 联系电话:15601403222 、 13915181149
火力发电厂的凝汽器水位、除氧器水位、汽包水位、高低加水位等等,在生产过程中都必须进行严格监视和调整。水位测量准确与否,直接关系到水位的自动调整和准确保护设备。目前使用的水位测量压力/差压液位樱桃视频入口在线观看大部分是智能型,技术比较成熟,测量精度高,但传统的安装方式却使液位测量存在诸多弊端,给设备的安全经济运行造成不利影响,为此,对液位测量樱桃视频入口在线观看的安装方式应予以探讨和改进。
1.压力/差压液位樱桃视频入口在线观看测量水位的原理
压力/差压液位樱桃视频入口在线观看是一个很**的名词,从词义上理解就是“转变、传送的仪器”。在工业生产中,樱桃视频入口在线观看的作用是将被测介质的物理过程量,转变为标准电量(0~5V/4~20mA等),然后传送到相应的控制监视系统。
在火力发电厂中使用为**的液位测量压力/差压液位樱桃视频入口在线观看是压力/差压樱桃视频入口在线观看。其结构多种多样,有电容式的,有扩散硅型等等,但基本测量原理是一致的。即利用液体的压强公式P=pgh进行计量。式中:P为压强;ρ为液体密度,对于某一温度下的液体,ρ基本上是不变的,如果介质温度变化范围较大,可通过温度补偿修正;g为重力加速度,对于某一地区,g为一固定值;h为液体的高度或称液位。因此,压力/差压液位樱桃视频入口在线观看测量液体的高度h(液位),实际上是通过测出不同液位产生的不同压力(压强)P来计算得到的。
压力/差压液位樱桃视频入口在线观看安装及测量原理如图1所示,樱桃视频入口在线观看两端测量到的差压值△P=(P气体+pgH)-P气体=ρgH。通过换算(有时加上必要的零点迁移),樱桃视频APP下载网址就可以得到需要的容器内液位高度值h。
2.压力/差压液位樱桃视频入口在线观看安装方式对测量精度的影响
从压力/差压液位樱桃视频入口在线观看液位测量原理上来看是很简单的,但实际上因工况的复杂性,会有许多因素影响水位测量的准确性。在火电厂,容器内大都是高温、高压的液态水,由于蒸发作用,容器上部不是非凝结性的气体而是遇冷会凝结的蒸汽,因此汽侧取样管内很容易形成凝结水,这样就会在樱桃视频入口在线观看的汽侧产生1个附加的压力,樱桃视频入口在线观看两端测量到的差压值就变成△P=(P气体+ρgH)-(P气体+P凝结)<ρgH,即测量液位值比实际液位值小。
若压力/差压液位樱桃视频入口在线观看安装位置不当,可能造成水侧取样管与汽侧取样管的温度相差较大,由于压力/差压液位樱桃视频入口在线观看结构的原因,就会造成较大的水位测量误差。又如水侧取样管的垂直部分产生了气泡并附着在管壁上形成空段,那么因为H 针对上述情况,火电厂对于高温、高压容器内液位的测量,虽然采取了多种安装方式,但到目前为止还没有一种方法能完全解决因为蒸汽凝结等现象带来的种种问题。
3.压力/差压液位樱桃视频入口在线观看安装实例分析及措施
1)定子冷却水箱水位的测量
定子冷却水箱属于低温、低压容器。当前各火力发电厂普遍采用的压力/差压液位樱桃视频入口在线观看测量水位的安装方式如图2a所示。在正常工况下,气侧取样管充满气体,但当水位超过容器顶部很高时,水的过高压力足够压缩气侧取样管的空气,使水进入B段取样管,致使压力/差压液位樱桃视频入口在线观看测量到的差压减小,显示的水位也偏低,从而给出错误的信息。
常规的解决方法是在取样管下部加装一个储水罐,但一旦水开始进入气侧取样管,很快就可以填满储水罐,并进而填满气侧取样管,导致测量错误因此,可将储水罐移到气侧取样管A段,其作用由储水改为增压,如图2b所示,其原理如下:
设气侧取样管内径ф14mm,长度为5000mm,则气侧取样管的容积为769690mm。如果樱桃视频APP下载网址选择内径为ф140mm,高度为100mm的增压罐,则增压罐的容积为1539380mm,是气侧取样管容积的2倍。即使水位大大超过水箱顶部,水要进入气侧取样管B段,也必须将增压罐内的空气全部压入气侧取样管。根据气体公式PV/T可知,由于气体体积压缩至原来的1/3,压强则要增至原来的3倍。若在正常工况下,气侧取样管与水箱上部气体相通时,气体的压力高于大气压力P。,则水要进入B段取样管,H段的水压必须大于2P。,那么H的高度必须大于20m,这种情况在火电厂是不会出现的。而当水位回复正常时,增压罐内的水则流入水箱,气侧取样管仍保持通畅,与水箱上部相通,无需排污。经上述改造,定子冷却水箱水位测量准确,达到了预期效果。
2)汽包水位的测量
汽包属于高温、高压容器,目前一般采用平衡容器的安装形式,见图3a。
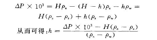
由于汽包内的水密度不是标准状态下的密度,所以必须对测量出来的液位根据压力(汽包内是饱和蒸气,压力与温度对应)进行修正。同时,因为平衡容器和汽侧取样管的参比水柱H的密度与汽包内的水密度也不一样,故还需要对此进行补偿。根据国电公司25项重要反措给出的汽包水位测量公式:
式中:Pa为参比水柱平均水温时的密度;Ps为饱和蒸气密度;Pw为饱和水密度,kg/m3。
由于参比水柱H的温度较高,其密度受环境温度的影响,很难给出一个准确值,所以只能用平均水温(60℃左右)时的密度来代替,这就给测量带来一定的误差。而更重要的是,在实际运行中,樱桃视频APP下载网址发现:因为露天环境的影响,A、B侧平衡容器的温度可以相差几十度,致使同一时间内,两侧水位测量值出现较大偏差(达到80mm)。究其根本原因是因为,这种传统安装方式的汽侧需要蒸汽凝结成水后,提供一个固定的参比水柱,因此平衡容器不可能安装得离汽包太远,而且L段的取样管不能太细,以免形成水柱。
针对以上情况,设计了如图3b所示的安装方式:将压力/差压液位樱桃视频入口在线观看的位置放到与汽侧取样管平齐,汽侧取样段采用普通的ф14mm或ф16mm的取样管,并有一微小的朝下角度。压力/差压液位樱桃视频入口在线观看远离汽包,使得汽侧取样管有足够的长度来冷却蒸汽,汽侧取样管中的水柱,因为没有高度,所以不会对压力/差压液位樱桃视频入口在线观看产生压强。水侧取样管的段实际上与汽侧取样管是平齐的。依图安装后,第1次的投入使用步骤如下:
首先锅炉上水,汽包内有0.2~0.5MPa压力后,打开压力/差压液位樱桃视频入口在线观看本体上的排污口。让汽包内的水填满水侧取样管,并从压力/差压液位樱桃视频入口在线观看的排污口流出,此时关闭樱桃视频入口在线观看本体排污口。这样,由于排污口已封闭,即使汽包内的水位下降到取样口以下,水侧取样管内的水也不会流回汽包。这就给樱桃视频入口在线观看提供了一个固定的参比水柱H。因该参比水柱不是依靠蒸汽凝结形成的,因此只要合理选择D段长度可使参比水柱的温度等于环境温度,基本上是稳定的。
此外,因为不再需要安装平衡容器,其受环境温度影响的问题也就不再存在。
该安装方式也适合除氧器的水位测量。安装时应注意的事项及其优点如下:
(1)保证汽侧取样管内有水柱,并有足够的长度,避免压力/差压液位樱桃视频入口在线观看两侧测量介质出现温度差,压力/差压液位樱桃视频入口在线观看的压力传感部分对温度是很敏感的。
(2)水侧取样管内如果出现了气泡,只要它上升到了段,就不会对测量产生影响。
(3)此种安装方式的干扰因素少于平衡容器安装方式,拥有更高的测量精度。

1.压力/差压液位樱桃视频入口在线观看测量水位的原理
压力/差压液位樱桃视频入口在线观看是一个很**的名词,从词义上理解就是“转变、传送的仪器”。在工业生产中,樱桃视频入口在线观看的作用是将被测介质的物理过程量,转变为标准电量(0~5V/4~20mA等),然后传送到相应的控制监视系统。
在火力发电厂中使用为**的液位测量压力/差压液位樱桃视频入口在线观看是压力/差压樱桃视频入口在线观看。其结构多种多样,有电容式的,有扩散硅型等等,但基本测量原理是一致的。即利用液体的压强公式P=pgh进行计量。式中:P为压强;ρ为液体密度,对于某一温度下的液体,ρ基本上是不变的,如果介质温度变化范围较大,可通过温度补偿修正;g为重力加速度,对于某一地区,g为一固定值;h为液体的高度或称液位。因此,压力/差压液位樱桃视频入口在线观看测量液体的高度h(液位),实际上是通过测出不同液位产生的不同压力(压强)P来计算得到的。
压力/差压液位樱桃视频入口在线观看安装及测量原理如图1所示,樱桃视频入口在线观看两端测量到的差压值△P=(P气体+pgH)-P气体=ρgH。通过换算(有时加上必要的零点迁移),樱桃视频APP下载网址就可以得到需要的容器内液位高度值h。

2.压力/差压液位樱桃视频入口在线观看安装方式对测量精度的影响
从压力/差压液位樱桃视频入口在线观看液位测量原理上来看是很简单的,但实际上因工况的复杂性,会有许多因素影响水位测量的准确性。在火电厂,容器内大都是高温、高压的液态水,由于蒸发作用,容器上部不是非凝结性的气体而是遇冷会凝结的蒸汽,因此汽侧取样管内很容易形成凝结水,这样就会在樱桃视频入口在线观看的汽侧产生1个附加的压力,樱桃视频入口在线观看两端测量到的差压值就变成△P=(P气体+ρgH)-(P气体+P凝结)<ρgH,即测量液位值比实际液位值小。
若压力/差压液位樱桃视频入口在线观看安装位置不当,可能造成水侧取样管与汽侧取样管的温度相差较大,由于压力/差压液位樱桃视频入口在线观看结构的原因,就会造成较大的水位测量误差。又如水侧取样管的垂直部分产生了气泡并附着在管壁上形成空段,那么因为H 针对上述情况,火电厂对于高温、高压容器内液位的测量,虽然采取了多种安装方式,但到目前为止还没有一种方法能完全解决因为蒸汽凝结等现象带来的种种问题。
3.压力/差压液位樱桃视频入口在线观看安装实例分析及措施
1)定子冷却水箱水位的测量
定子冷却水箱属于低温、低压容器。当前各火力发电厂普遍采用的压力/差压液位樱桃视频入口在线观看测量水位的安装方式如图2a所示。在正常工况下,气侧取样管充满气体,但当水位超过容器顶部很高时,水的过高压力足够压缩气侧取样管的空气,使水进入B段取样管,致使压力/差压液位樱桃视频入口在线观看测量到的差压减小,显示的水位也偏低,从而给出错误的信息。
常规的解决方法是在取样管下部加装一个储水罐,但一旦水开始进入气侧取样管,很快就可以填满储水罐,并进而填满气侧取样管,导致测量错误因此,可将储水罐移到气侧取样管A段,其作用由储水改为增压,如图2b所示,其原理如下:

设气侧取样管内径ф14mm,长度为5000mm,则气侧取样管的容积为769690mm。如果樱桃视频APP下载网址选择内径为ф140mm,高度为100mm的增压罐,则增压罐的容积为1539380mm,是气侧取样管容积的2倍。即使水位大大超过水箱顶部,水要进入气侧取样管B段,也必须将增压罐内的空气全部压入气侧取样管。根据气体公式PV/T可知,由于气体体积压缩至原来的1/3,压强则要增至原来的3倍。若在正常工况下,气侧取样管与水箱上部气体相通时,气体的压力高于大气压力P。,则水要进入B段取样管,H段的水压必须大于2P。,那么H的高度必须大于20m,这种情况在火电厂是不会出现的。而当水位回复正常时,增压罐内的水则流入水箱,气侧取样管仍保持通畅,与水箱上部相通,无需排污。经上述改造,定子冷却水箱水位测量准确,达到了预期效果。
2)汽包水位的测量
汽包属于高温、高压容器,目前一般采用平衡容器的安装形式,见图3a。

由于汽包内的水密度不是标准状态下的密度,所以必须对测量出来的液位根据压力(汽包内是饱和蒸气,压力与温度对应)进行修正。同时,因为平衡容器和汽侧取样管的参比水柱H的密度与汽包内的水密度也不一样,故还需要对此进行补偿。根据国电公司25项重要反措给出的汽包水位测量公式:

式中:Pa为参比水柱平均水温时的密度;Ps为饱和蒸气密度;Pw为饱和水密度,kg/m3。
由于参比水柱H的温度较高,其密度受环境温度的影响,很难给出一个准确值,所以只能用平均水温(60℃左右)时的密度来代替,这就给测量带来一定的误差。而更重要的是,在实际运行中,樱桃视频APP下载网址发现:因为露天环境的影响,A、B侧平衡容器的温度可以相差几十度,致使同一时间内,两侧水位测量值出现较大偏差(达到80mm)。究其根本原因是因为,这种传统安装方式的汽侧需要蒸汽凝结成水后,提供一个固定的参比水柱,因此平衡容器不可能安装得离汽包太远,而且L段的取样管不能太细,以免形成水柱。
针对以上情况,设计了如图3b所示的安装方式:将压力/差压液位樱桃视频入口在线观看的位置放到与汽侧取样管平齐,汽侧取样段采用普通的ф14mm或ф16mm的取样管,并有一微小的朝下角度。压力/差压液位樱桃视频入口在线观看远离汽包,使得汽侧取样管有足够的长度来冷却蒸汽,汽侧取样管中的水柱,因为没有高度,所以不会对压力/差压液位樱桃视频入口在线观看产生压强。水侧取样管的段实际上与汽侧取样管是平齐的。依图安装后,第1次的投入使用步骤如下:
首先锅炉上水,汽包内有0.2~0.5MPa压力后,打开压力/差压液位樱桃视频入口在线观看本体上的排污口。让汽包内的水填满水侧取样管,并从压力/差压液位樱桃视频入口在线观看的排污口流出,此时关闭樱桃视频入口在线观看本体排污口。这样,由于排污口已封闭,即使汽包内的水位下降到取样口以下,水侧取样管内的水也不会流回汽包。这就给樱桃视频入口在线观看提供了一个固定的参比水柱H。因该参比水柱不是依靠蒸汽凝结形成的,因此只要合理选择D段长度可使参比水柱的温度等于环境温度,基本上是稳定的。
此外,因为不再需要安装平衡容器,其受环境温度影响的问题也就不再存在。
该安装方式也适合除氧器的水位测量。安装时应注意的事项及其优点如下:
(1)保证汽侧取样管内有水柱,并有足够的长度,避免压力/差压液位樱桃视频入口在线观看两侧测量介质出现温度差,压力/差压液位樱桃视频入口在线观看的压力传感部分对温度是很敏感的。
(2)水侧取样管内如果出现了气泡,只要它上升到了段,就不会对测量产生影响。
(3)此种安装方式的干扰因素少于平衡容器安装方式,拥有更高的测量精度。
受欢迎产品
- 液位压力樱桃视频入口在线观看
- 压差樱桃视频入口在线观看
- 法兰式液位樱桃视频入口在线观看
- 静压式液位樱桃视频入口在线观看
- 隔膜压力樱桃视频入口在线观看
- 一体化温度樱桃视频入口在线观看
- 压力液位樱桃视频入口在线观看
- 3051压力樱桃视频入口在线观看
- 卫生型压力樱桃视频入口在线观看
- GPRS无线远传压力|差压|液位|樱桃视频入口在线观看,液位计
- 单法兰液位樱桃视频入口在线观看
- 防腐投入式液位樱桃视频入口在线观看
- 差压液位樱桃视频入口在线观看
- 磁翻板液位樱桃视频入口在线观看
- 双法兰液位樱桃视频入口在线观看
- 电容式液位樱桃视频入口在线观看
- 浮球液位樱桃视频入口在线观看
- 差压樱桃视频入口在线观看
- 电容式液位计
- 微压差樱桃视频入口在线观看
*新资讯文章
- 液位计的联锁值低于报警值是否不合理?
- 针对双法兰液位计膜片保护的安装改造方法详解
- 工业自动化设备中常用的压力樱桃视频入口在线观看
- 压力传感器的分类、特点以及用途
- 在稠油热采平台中如何对压力樱桃视频入口在线观看选型及安装的研究
- 智能液位樱桃视频入口在线观看在制浆造纸中的使用说明及维护方法
- 液位樱桃视频入口在线观看在制浆纸中的应用和维护情况介绍
- 压力樱桃视频入口在线观看常见故障的四点解决对策
- 加压锅炉汽包中利用差压樱桃视频入口在线观看测量封闭水箱水位的调试过程
- 浮球液位樱桃视频入口在线观看的产品原理及使用时的注意事项
- 关于生产卫生型压力樱桃视频入口在线观看的卫生级设计的**性要求
- 当使用平膜压力樱桃视频入口在线观看时出现以下误差是无法避免的
- 压力樱桃视频入口在线观看与压力传感器有什么不同
- 压力樱桃视频入口在线观看常见问题排查5点方法
- 简述单法兰与双法兰液位樱桃视频入口在线观看区别有哪些?
- 为什么压力樱桃视频入口在线观看的信号输出常用的是4-20mA dc的原因分析
- 简述电容式、扩散硅、陶瓷式微差压樱桃视频入口在线观看的区别
- 国内液位樱桃视频入口在线观看产业的发展趋势
- 电容式压力樱桃视频入口在线观看的应用范围及产品特点介绍
- 决定电容式压力樱桃视频入口在线观看的选型的几个关键参数要求及相应方法











