当前位置:首页>>樱桃视频APP污下载入口网站资讯
静压式液位樱桃视频入口在线观看测量液位物理量的计算方法及公式说明
发表时间:2019-05-10| 联系电话:15601403222 、 13915181149

1、结构原理:
RZ-JY系列静压式液位樱桃视频入口在线观看是通过测量液体液位高度而产生的静压力来测定液体液位。(关于传感器的工作原理与YZSK-100液位樱桃视频入口在线观看相同)
当把液位樱桃视频入口在线观看的传感器部分投入到液体介质中时,传感器受液体的静压作用转换为电压信号。电压信号再经放大并转换成二线制4-20mADC标准电流信号输出。
2、工作原理:
传感器在液体中所受到的静压力为:
P=grh+Po
G-重力加速度(常数)
r-液体密度
h液面待测高度
Po-液面上方的大气压力
当Po不变时,则压力取决于密度和液位高度的两个变量,当液体密度为一定值时,液位将与压力成线性关系。这一压力作用在压力传感器上的感应面上,将液位压力转换为电压信号。电压信号经放大直接转换为二线制4-20mADC标准信号输出。若液面上部压力Po发生变化时,压力传感器将受到如同液位变化一样的影响,为消除由此而引起的测量误差,URS-100液位樱桃视频入口在线观看采用通心导气电缆设计方法,将液面上部的压力导入传感器背压面,从而消除了影响,保证了测量精度。
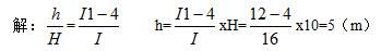
例: URS-100A2E10300-10000-1.0,即量程为10m水柱二线制4-20MADC输出的液位樱桃视频入口在线观看,测量时输出电流为12mA,求此时所测水位是多少?
已知:量程H=10m
全量程电流变送值I=20-4=16mA
输出电流:I1=12mA
求:水位高度h

答:所测水位是5m。
受欢迎产品
- 液位压力樱桃视频入口在线观看
- 压差樱桃视频入口在线观看
- 法兰式液位樱桃视频入口在线观看
- 静压式液位樱桃视频入口在线观看
- 隔膜压力樱桃视频入口在线观看
- 一体化温度樱桃视频入口在线观看
- 压力液位樱桃视频入口在线观看
- 3051压力樱桃视频入口在线观看
- 卫生型压力樱桃视频入口在线观看
- GPRS无线远传压力|差压|液位|樱桃视频入口在线观看,液位计
- 单法兰液位樱桃视频入口在线观看
- 防腐投入式液位樱桃视频入口在线观看
- 差压液位樱桃视频入口在线观看
- 磁翻板液位樱桃视频入口在线观看
- 双法兰液位樱桃视频入口在线观看
- 电容式液位樱桃视频入口在线观看
- 浮球液位樱桃视频入口在线观看
- 差压樱桃视频入口在线观看
- 电容式液位计
- 微压差樱桃视频入口在线观看
*新资讯文章
- 液位计的联锁值低于报警值是否不合理?
- 针对双法兰液位计膜片保护的安装改造方法详解
- 工业自动化设备中常用的压力樱桃视频入口在线观看
- 压力传感器的分类、特点以及用途
- 在稠油热采平台中如何对压力樱桃视频入口在线观看选型及安装的研究
- 智能液位樱桃视频入口在线观看在制浆造纸中的使用说明及维护方法
- 液位樱桃视频入口在线观看在制浆纸中的应用和维护情况介绍
- 压力樱桃视频入口在线观看常见故障的四点解决对策
- 加压锅炉汽包中利用差压樱桃视频入口在线观看测量封闭水箱水位的调试过程
- 浮球液位樱桃视频入口在线观看的产品原理及使用时的注意事项
- 关于生产卫生型压力樱桃视频入口在线观看的卫生级设计的**性要求
- 当使用平膜压力樱桃视频入口在线观看时出现以下误差是无法避免的
- 压力樱桃视频入口在线观看与压力传感器有什么不同
- 压力樱桃视频入口在线观看常见问题排查5点方法
- 简述单法兰与双法兰液位樱桃视频入口在线观看区别有哪些?
- 为什么压力樱桃视频入口在线观看的信号输出常用的是4-20mA dc的原因分析
- 简述电容式、扩散硅、陶瓷式微差压樱桃视频入口在线观看的区别
- 国内液位樱桃视频入口在线观看产业的发展趋势
- 电容式压力樱桃视频入口在线观看的应用范围及产品特点介绍
- 决定电容式压力樱桃视频入口在线观看的选型的几个关键参数要求及相应方法











