当前位置:首页>>樱桃视频APP污下载入口网站资讯
差压樱桃视频入口在线观看在活塞式压力计计量应用的技术说明及操作方法
发表时间:2019-04-09| 联系电话:15601403222 、 13915181149
差压樱桃视频入口在线观看是一种通过测压力的差值变化来进行测量与控制的自动化仪表,在许多与压力测量相关的工业生产中用途极广,在任何一个具有一定规模的化工或石油企业,是肯定少不了差压樱桃视频入口在线观看的身影的。活塞式压力计作为一个压力量量值传递的重要计量标准装置,其重要性可想而知。但是活塞式压力计的计量过程对操作者的实际操作等一系列经验积累水平有非常高的要求,且繁杂的操作过程会造成计量工作者的主观意愿引入其他误差,影响量值传递的准确性。尤其是在活塞调平这一过程中,没有相当的经验积累和活塞式压力计操作手感是根本无法完成的。针对这一难题引入差压樱桃视频入口在线观看到活塞式压力计的计量过程中,简化操作过程,使活塞式压力计的计量更容易被学习和掌握,保证压力量量值传递的准确可靠。
引 言
压力计量基准器为国家压力基准装置,国家压力基准装置主要由一套相同结构的5个活塞系统组成 。压力工作基准也由0.005级活塞式压力计构成,其次有0.01级活塞式压力计、0.02级活塞式压力计、 0.05级活塞式压力计以及其他压力计量器具构成了压力计量器具检定系
统表。活塞式压力计具有测量范围宽、测量准确度高、结构简单计量性能稳定、易于量值溯源等优势。其作为压力标准在压力量量值传递中的地位也就可想而知了。因此活塞式压力计的计量也就变得尤为重要。
1 活塞压力计简介
活塞式压力计是根据帕斯卡原理、流体静力学平衡原理为基础进行压力计量的 。活塞式压力计主要有活塞系统(活塞和活塞筒组成)、专用砝码和校验器3大部件组成。活塞系统作为活塞式压力计的核心部件,活塞和活塞筒是活塞式压力计核心数据———活塞有效面积的来源;专用砝码是根据活塞有效面积与使用地重力加速度经过计算,加工的具有固定质量用于复现标准压力值的圆盘型砝码 ;校验器也称为造压泵或压力计底座,主要由压力泵、连接管和阀门组成,用于安装活塞系统且有造压功能的装置。
活塞式压力计压力产生的原理如式(1 )所示:P =mg/ A e (1 )
式中: P 为活塞产生的压力; m 为专用砝码的质量;g 为使用地的重力加速度; A e 为活塞的有效面积。
2 活塞式压力计的计量
结合 JJG59 - 2007 《活塞式压力计检定规程》的要求,活塞式压力计的计量检定是在相应的环境条件下(不同准确度等级都有与之对应的温度和湿度要求)进行的,检定项目主要包括外观检查、活塞系统检查、专用砝码和称重盘检查、活塞有效面积测量、专用砝码质量测量、垂直度测量、活塞转动延续时间测量、活塞转动下降速度测量、鉴别力测 量、密 封 性 检 测、活 塞 有 效 面 积 周 期 变 化 率 判定 。其中活塞有效面积测量是整个活塞式压力计的计量检定的核心工作。本文主要针对活塞有效面积测量进行研究。
2.1 活塞有效面积测量
活塞有效面积测量主要包括直接平衡法和起始平衡法两种 。
直接平衡法:
1 )确定标准活塞式压力计与被检活塞式压力计的活塞及其连接件质量;
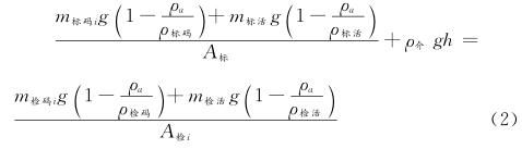
2 )测量两套活塞式压力计参考平面的高度差; 3 )开始平衡点的测量,*平衡点压力值一般 选 择 活 塞 式 压 力 计 测 量 范 围 上 限 的 10% ~20% ,分别在两套压力计上加载相应的专用砝码,校验器加压使标准与被检活塞式压力计都升至工作位置,此过程中两套压力计均应以 30~60r / min 的速度顺时针转动保持在各自的工作位置。如不平衡,在上升活塞上加载相应的小砝码,直至平衡。然后以同样办法依次升压、降压测量其他检定点,检定点一般不少于 5 个。根据测量数据计算得到被检活塞的有效面积。直接平衡法的平衡原理如式(2 )所示:

式中: m 标码 i 为第 i 个平衡点标准活塞式压力计加载的标准砝码质量; m 检码 i 为第 i 个平衡点被检活塞式压力计加载的标准砝码质量; m 标活 为标准活塞式压力计活塞及其连接杆质量; m 检活 为被检活塞式压力计活塞及其连接杆质量;ρ 标码为标准活塞式压力计加载砝码的密度;ρ 检码 为被检活塞式压力计加载砝码的密度;ρ 标活 为标准活塞式压力计活塞及其连接杆平均密度;ρ 检活 为被检活塞式压力计活塞及其连接杆平均密度;ρ a 为空气密度; ρ 介 为活塞式压力计使用介质的密度; A 标 为标准活塞式压力计的有效面积;A 检 i 为第 i个平衡点计算得到的被检活塞式压力计的有效面积;g 为当地重力加速度;h 为标准活塞式压力计与被检活塞式压力计工作位置的高度差(标准活塞式压力计工作位置高度减去被检活塞式压力计工作位置高度)。被检活塞式压力计的有效面积平均值为*终的被检活塞式压力计的有效面积如式(3 )所示:

式中:n 平衡点的测量次数。
起始平衡法:
1 )起始平衡点的确定,一般选择活塞式压力计测量范围上限的 10%~20% 压力值的点作为起始平衡点,分别在两套压力计上加载相应数量的砝码,校验器加压使标准与被检活塞式压力计都升至工作位置,此过程中两套压力计均应以 30~60r / min 的速度顺时针转动保持在各自的工作位置,如不平衡,在上升活塞上加载相应的小砝码,直至平衡。起始平衡后,压力计上加载的所有砝码作为起始平衡质量,保持不变;
2 )以同样办法依次升压、降压测量其他检定点,检定点一般不少于 5 个。根据测量数据计算得到被检活塞的有效面积。起始平衡法的平衡原理如式(4 )所示,

式中: m 标码(i +1 ) 为第( i +1 )个平衡点标准活塞式压力计加载的标准砝码质量; m 检码(i +1 ) 为第( i +1 )个平衡点被检活塞式压力计加载的标准砝码质量; m标码1为起始平衡点标准活塞式压力计加载的标准砝码质量; m检码1为起始平衡点被检活塞式压力计加载的标准砝码质量;ρ 标码 为标准活塞式压力计加载砝码的密度;ρ 检码 为被检活塞式压力计加载砝码的密度;ρ a 为空气密度; ρ 介 为活塞式压力计使用介质的密度; A 标 为标准活塞式压力计的有效面积;A 检( i +1 ) 为第(i +1 )个平衡点计算得到的被检活塞式压力计的有效面积;g 为当地重力加速度。
被检活塞式压力计的有效面积平均值为*终的被检活塞式压力计的有效面积如式(5 )所示:

式中:n 为平衡点的测量次数。
2.2 常用方法的弊端
两种测量方法的关键都是每个检定点通过在上升活塞上加载小砝码的方式,使两套活塞式压力计同时达到各自的平衡位置(工作位置)。这也是在实际操作过程中的难点,其主要依靠活塞位置指示装置来实现的,活塞位置指示装置*常用的有灯影位置指示和电磁位置指示两种。长时间盯着灯影或指示表针,而且要用调整砝码的方法使灯影或指示表针在每个检定点上都达到固定的指示位置视为是达到每套活塞的各自平衡位置。此过程中存在的问题包括:
1 )长时间盯着灯影或指示表针进行调整,会对调整者造成视觉疲劳,进而引入误差;
2 )目测灯影或指示表针的方法,自身读数存在误差较大,操作者的主观意愿影响也会引入一定误差;
3 )目测灯影或指示表针的方法调整过程中,由于没有明确的压力值指示,不能实现快速调整砝码质量达到每套活塞各自平衡位置。加之存在活塞下降速度的影响,会出现需要反复加压使活塞达到工作位置。没有长时间的活塞计量检定经验和活塞调整手感就很难调整出每套活塞各自平衡位置。
以上问题就造成了,活塞式压力计的计量需要有丰富的经验积累和很好的活塞调整手感的计量工作者才能进行,对于只有理论知识积累而实际操作经验积累不是很充分的计量工作者来说这项工作就变的非常困难。
2.3 差压樱桃视频入口在线观看的应用
差压樱桃视频入口在线观看在活塞式压力计计量中应用示意图如图1 所示,在测量每一个平衡点时方法测量如下。
1 )打开平衡阀,上两套活塞的介质达到连通状态,差压樱桃视频入口在线观看指示为0 (可以是电流输出 mA 显示 4.000 或压力输出 kPa 显示 0.000 ) 。
2 )在标准活塞系统和被检活塞系统上加载对应砝码,然后使用任意一个校验器对于连通的两套活塞系统进行加压,使其中一个活塞系统达到活塞指示装置指示的工作位置(以 30~60r / min 的速度顺时针转动),另外一个活塞系统稍微超出工作位置。
3 )关闭平衡阀,在超出工作位置的活塞系统上加载小砝码,差压樱桃视频入口在线观看会有数值显示上的变化,随即调整加载砝码一侧的校验器,两者交替操作,使被调整的活塞系统达到工作位置(以 30~60r / min 的速度顺时针转动),同时差压樱桃视频入口在线观看指示为 0 。
4 )打开平衡阀,标准活塞系统和被检活塞系统都处于工作位置(均以30~60r/min的速度顺时针转动),对以上方法进行验证,在原始记录上记录该点加载砝码质量。依据以上方法再进行下一平衡点的测量。直至完成每一个平衡点的测量,处理数据就可以得到被检活塞系统
的活塞有限面积 。
使用此方法在活塞式压力计计量中的应用主要有以下注意事项:
1 )差压樱桃视频入口在线观看的选型,相同准确度等级的压力樱桃视频入口在线观看,量程越大,误差越大;量程越小,可操作范围越小 。所以在差压樱桃视频入口在线观看误差符合被计量活塞式压力计精度要求的情况下,量程越大,可操作范围越大,越便于使用,操作更简单、更安全。
2 )差压樱桃视频入口在线观看的安装,差压樱桃视频入口在线观看必须设置有一个相对固定安装平台,使差压樱桃视频入口在线观看的安装在测量过程中不发生位置变化,不存在外力影响,保证输出结果的准确性。
3 应用比对
为了直观得到应用差压樱桃视频入口在线观看的方法在活塞有效面积测量中的优势,对本计量机构 2~3 月份的活塞式压力计的计量任务进行了分配和统计,在两个月内的活塞式压力计计量任务中,活塞有效面积测量分别随机规定测量方案(常用方法或应用差压樱桃视频入口在线观看方法),并对测量用时情况进行了统计,如表 1 所示。表 1 中 A 为压力计量工作 20年以上的计量工作者,具有熟练操作水平和丰富测量经验; B 为压力计量工作 6 年的计量工作者;C 为压力计量工作刚 1 年的计量工作者。
表1中 ∞ 表示使用对应方法进行测量,但长时间无法完成此项工作。由表1可知在活塞有效面积测量中引入应用差压樱桃视频入口在线观看的方法不但极大的提高了工作效率,而且使活塞有效面积测量操作变的更直观,易于掌握 。
4 结 论
差压樱桃视频入口在线观看应用于活塞压力计的计量中主要可以帮助新进的计量工作者迅速掌握活塞式压力计计量的操作方法,快速上岗,快速上手工作;可以简化活塞式压力计计量中,活塞系统平衡调整中繁杂的工作量;可以避免长时间盯着活塞位置指示装置而引起操作者主观因素引入的误差。因此差压樱桃视频入口在线观看在活塞式压力计计量中的应用很有必要在计量部门进行大面积推广。
受欢迎产品
- 液位压力樱桃视频入口在线观看
- 压差樱桃视频入口在线观看
- 法兰式液位樱桃视频入口在线观看
- 静压式液位樱桃视频入口在线观看
- 隔膜压力樱桃视频入口在线观看
- 一体化温度樱桃视频入口在线观看
- 压力液位樱桃视频入口在线观看
- 3051压力樱桃视频入口在线观看
- 卫生型压力樱桃视频入口在线观看
- GPRS无线远传压力|差压|液位|樱桃视频入口在线观看,液位计
- 单法兰液位樱桃视频入口在线观看
- 防腐投入式液位樱桃视频入口在线观看
- 差压液位樱桃视频入口在线观看
- 磁翻板液位樱桃视频入口在线观看
- 双法兰液位樱桃视频入口在线观看
- 电容式液位樱桃视频入口在线观看
- 浮球液位樱桃视频入口在线观看
- 差压樱桃视频入口在线观看
- 电容式液位计
- 微压差樱桃视频入口在线观看
*新资讯文章
- 液位计的联锁值低于报警值是否不合理?
- 针对双法兰液位计膜片保护的安装改造方法详解
- 工业自动化设备中常用的压力樱桃视频入口在线观看
- 压力传感器的分类、特点以及用途
- 在稠油热采平台中如何对压力樱桃视频入口在线观看选型及安装的研究
- 智能液位樱桃视频入口在线观看在制浆造纸中的使用说明及维护方法
- 液位樱桃视频入口在线观看在制浆纸中的应用和维护情况介绍
- 压力樱桃视频入口在线观看常见故障的四点解决对策
- 加压锅炉汽包中利用差压樱桃视频入口在线观看测量封闭水箱水位的调试过程
- 浮球液位樱桃视频入口在线观看的产品原理及使用时的注意事项
- 关于生产卫生型压力樱桃视频入口在线观看的卫生级设计的**性要求
- 当使用平膜压力樱桃视频入口在线观看时出现以下误差是无法避免的
- 压力樱桃视频入口在线观看与压力传感器有什么不同
- 压力樱桃视频入口在线观看常见问题排查5点方法
- 简述单法兰与双法兰液位樱桃视频入口在线观看区别有哪些?
- 为什么压力樱桃视频入口在线观看的信号输出常用的是4-20mA dc的原因分析
- 简述电容式、扩散硅、陶瓷式微差压樱桃视频入口在线观看的区别
- 国内液位樱桃视频入口在线观看产业的发展趋势
- 电容式压力樱桃视频入口在线观看的应用范围及产品特点介绍
- 决定电容式压力樱桃视频入口在线观看的选型的几个关键参数要求及相应方法











