当前位置:首页>>樱桃视频APP污下载入口网站资讯
浅析差压液位樱桃视频入口在线观看在蒸汽冷凝槽中的应用
发表时间:2019-04-21| 联系电话:15601403222 、 13915181149
摘 要:介绍了某核电站蒸汽冷凝水平衡槽液位测量仪表系统构成及工作原理,差压液位樱桃视频入口在线观看的安装注意事项、迁移计算方法,并结合某核电站安装调试中出现的具体问题,对压差液位变送器的安装调试进行了分析与改进。在实际运行中,差压液位樱桃视频入口在线观看测量稳定,调试维护方便。
0 引言
核电厂中蒸发装置、冷却装置是硼回收系统、废液收集处理系统等重要组成部分,蒸汽冷凝水平衡槽用于收集蒸汽冷凝水,并通过其液位控制来保持冷却器内充满被冷却的液体,蒸汽冷凝槽液位控制对核电站辅助工艺系统的正常稳定运行起着重要作用。由于核电站硼回收系统、废液收集处理系统产生的气体、液体均带有放射性,蒸汽冷凝槽放置于人员禁止靠近或不易靠近的区域,这就对仪表的安装位置提出了要求,测量仪表应安装于便于维护、放射性较低的区域。而差压液位樱桃视频入口在线观看由于其性能稳定、精度高、分离式安装等特点,其**应用于核电站液位测量中。本文以某核电厂的蒸汽冷凝水平衡槽液位测量为例,详细阐述了差压液位樱桃视频入口在线观看在蒸汽冷凝水平衡槽中的设计应用,并结合某核电厂实际安装调试问题对其进行了分析及改进。
1 蒸汽冷凝水平衡槽液位测量系统
1. 1 差压液位樱桃视频入口在线观看测量原理
差压液位樱桃视频入口在线观看主要有差压传感器、樱桃视频入口在线观看组成。
差压传感器测量原理为:来自双侧导压罐中的压力作用于传感器两侧的隔离膜片上,通过膜片内的密封液传导至测量元件上,测量元件将测得的压差值转换成对应的电信号(4 ~20mA 信号)输出。差压液位樱桃视频入口在线观看工作原理:通过特定的系统布置,依据液体压强计算公式(P = ),将被测容器的液位测量转化成压差测量,再通过相应的公式推算可计算出被测容器实时液位值。差压液位樱桃视频入口在线观看应用场合主要有常压容器液位测量、带压容器液位测量两种。
1. 2 蒸汽冷凝水平衡槽液位测量系统
蒸汽冷凝水平衡槽液位测量系统采用差压式液位测量原理,其系统设置如图 1 流程图所示。液位测量系统主要有储槽 013BA(带压容器)、平衡容器、平衡容器补水管线及连通管、仪表根阀、差压樱桃视频入口在线观看405MN 及引压管路组成。该液位测量装置专门设置平衡容器,以避免差压樱桃视频入口在线观看气体测量端由于蒸汽冷凝带来的误差以及高温蒸汽对测量仪表造成的损害。其工作流程及原理如下:
平衡罐安装于被测容器的上方,平衡罐中部通过管线与冷凝槽上部进气/液管线连通。系统调试运行前,首先通过平衡罐顶部补水管线对平衡容器进行补水,当平衡罐中液体超过连通管接口时,多余的液体自流进废液储槽,停止补水,保持平衡罐上部气压与废液储槽 013BA 上部气压一致。差压樱桃视频入口在线观看一端连接废液储槽底部压力接口(405VML 根阀),一端连接平衡罐底部压力接口(405VML 根阀),根据差压式液位测量原理,差压樱桃视频入口在线观看 405MN 实际测量的差压值经过公式换算后,可得到废液储槽 013BA 的实时液位。

2 差压液位樱桃视频入口在线观看安装与调试方法
2. 1 液位测量仪表安装
差压液位樱桃视频入口在线观看的正确规范安装以及安装方式对应量程、上限、下限的计算和设置决定了容器液位测量的正确性。差压液位樱桃视频入口在线观看在蒸汽冷凝水平衡槽液位测量中应用时,应注意以下事项:
(1)传感器(差压樱桃视频入口在线观看)的安装高度应低于 0%容器液位;
(2)平衡罐的安装高度应高于容器上部取源口,容器与平衡罐的连同管线应保持至少 2% 的坡度,保证平衡罐中补充或冷凝的多余液体回流到容器中,以维持传感器平衡罐测得压力恒定;
(3)容器上部取源口应高于 ****容器液位;
(4)从仪表根阀至传感器的引压管线应保持往下至少 2%的坡度,使引压罐中不会集气;
(5)传感器应安装于辐射剂量较低的区域(黄区、绿区或白区),以便于现场维护。

2. 2 液位测量仪表迁移计算
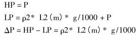
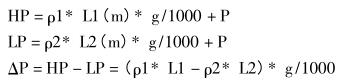
蒸汽冷凝槽液位测量仪表在调试过程中,将差压樱桃视频入口在线观看测量值通过迁移计算转换成实际液位值,是调试的主要工作。下面以某冷凝槽液位测量仪表为例,对仪表的迁移计算方法进行说明(见图 2 所示)。HP 传感器高压侧压力,LP 为低压侧压力。ρ1 为被测容器介质密度,ρ2 为平衡罐中介质浓度,L1 为被测容器液位值,L2 为平衡罐液面至被测容器 0 液位的距离。P 为传感器低于正常水位产生的固定压力值与容器内部气压值之和。
容器 0%液位时 HP、LP 计算如下:

容器 ****液位时 HP、LP 计算如下:

传感器数值对应关系如表 1 所示。

由于传感器输出 mA 值与差压显示值呈线性变化,根据上述公式,可得出传感器 ΔP 数值对应的实际液位值。
3 现场安装调试问题分析及处理
某核电厂蒸汽冷凝水平衡槽液位测量仪表,在调试过程中量程迁移不到位,不能满足测量要求。
3. 1 问题分析
查阅相关图纸资料及经过现场测绘,冷凝槽、平衡容器中液体均为水,密度 ρ1、ρ2 均为 998. 35Kg/m 3 ,容器液位测量范围 0 ~ 500mm,L2 为 1. 1m,现场到货仪表*大量程为 6kPa。液位测量流程图如图 1所示,迁移计算如图 2 所示。
由第二章节可知,当正常水位为 0 时,差压樱桃视频入口在线观看两端的压差*值达到*大值,根据实际测量数据,*大压差约为 11kPa,超出了现有仪表的量程范围。通过分析造成这种情况产生的原因如下:仪控**按照工艺输入条件进行仪表选型,仪控**收到系统**的输入条件是需要测量 013BA 的液位,测量范围为 0 ~500mm,设计者对差压液位测量仪表的安装方式及测量原理认识不清,没有考虑到仪表量程范围的选择与仪表平衡罐的位置有关,只是按照工艺输入条件进行设计,造成仪表不适用现场。这要求设计人员在设计前,应掌握液位测量仪表的测量原理及安装方法,才能避免现场问题的产生。
3. 2 问题处理
通过上述分析,樱桃视频APP下载网址可知目前是所选差压樱桃视频入口在线观看量程过小造成问题的产生,且工艺过程中存在的*大压差与平衡罐的高度(也就是迁移计算书中 L2 的长度)有关,L2 的长度变小,相应的*大压差值就变小。那么,就有两种方案可解决该问题:
(1)更换仪表量程,选择*大量程大于 11kPa 的仪表;
(2)将平衡罐的高度降低 500mm 左右,使现有仪表能够满足现场测量的要求。
方案 1 主要涉及采购周期的问题,从仪表采购到仪表到货*少需要 3 个月,而核电站建设周期与时间节点有严格的把控,从问题反馈到下一个重要节点仅有 1 个多月时间,时间来不及,故该方案暂不考虑。
方案 2 需考虑平衡罐降低高度的可能性。基于平衡罐中液体回流至 013BA 的原理,平衡罐至 013BA上部出口管道的管线应水平微微向下敷设,因此平衡罐下降的同时,连接管线也应同时下降。经查阅设备图纸,013BA 底部取源口至设备顶部出口的距离约为550mm,故该方案可行。虽然现场管道及保温已安装完毕,更改平衡罐高度会牵扯到 SED 补水管线、平衡罐连接管线、拆保温层等工作,工作量较大,但为满足装料时间节点,*终采用该方案。
4 结束语
差压液位液位樱桃视频入口在线观看在核电站蒸汽冷凝水平衡槽的液位测量中已得到**的应用,各电站运行反馈中,该液位测量方式运行稳定、测量精度高、便于维护且经济性高。但在安装调试过程中,仍然出现各种各样的问题,这就要求核电站设计、安装、调试人员应对液位测量樱桃视频入口在线观看的测量原理、安装要求、迁移计算方法等有比较清楚的认知,这样才能保证冷凝水平衡槽液位的正确、*测量。
受欢迎产品
- 液位压力樱桃视频入口在线观看
- 压差樱桃视频入口在线观看
- 法兰式液位樱桃视频入口在线观看
- 静压式液位樱桃视频入口在线观看
- 隔膜压力樱桃视频入口在线观看
- 一体化温度樱桃视频入口在线观看
- 压力液位樱桃视频入口在线观看
- 3051压力樱桃视频入口在线观看
- 卫生型压力樱桃视频入口在线观看
- GPRS无线远传压力|差压|液位|樱桃视频入口在线观看,液位计
- 单法兰液位樱桃视频入口在线观看
- 防腐投入式液位樱桃视频入口在线观看
- 差压液位樱桃视频入口在线观看
- 磁翻板液位樱桃视频入口在线观看
- 双法兰液位樱桃视频入口在线观看
- 电容式液位樱桃视频入口在线观看
- 浮球液位樱桃视频入口在线观看
- 差压樱桃视频入口在线观看
- 电容式液位计
- 微压差樱桃视频入口在线观看
*新资讯文章
- 液位计的联锁值低于报警值是否不合理?
- 针对双法兰液位计膜片保护的安装改造方法详解
- 工业自动化设备中常用的压力樱桃视频入口在线观看
- 压力传感器的分类、特点以及用途
- 在稠油热采平台中如何对压力樱桃视频入口在线观看选型及安装的研究
- 智能液位樱桃视频入口在线观看在制浆造纸中的使用说明及维护方法
- 液位樱桃视频入口在线观看在制浆纸中的应用和维护情况介绍
- 压力樱桃视频入口在线观看常见故障的四点解决对策
- 加压锅炉汽包中利用差压樱桃视频入口在线观看测量封闭水箱水位的调试过程
- 浮球液位樱桃视频入口在线观看的产品原理及使用时的注意事项
- 关于生产卫生型压力樱桃视频入口在线观看的卫生级设计的**性要求
- 当使用平膜压力樱桃视频入口在线观看时出现以下误差是无法避免的
- 压力樱桃视频入口在线观看与压力传感器有什么不同
- 压力樱桃视频入口在线观看常见问题排查5点方法
- 简述单法兰与双法兰液位樱桃视频入口在线观看区别有哪些?
- 为什么压力樱桃视频入口在线观看的信号输出常用的是4-20mA dc的原因分析
- 简述电容式、扩散硅、陶瓷式微差压樱桃视频入口在线观看的区别
- 国内液位樱桃视频入口在线观看产业的发展趋势
- 电容式压力樱桃视频入口在线观看的应用范围及产品特点介绍
- 决定电容式压力樱桃视频入口在线观看的选型的几个关键参数要求及相应方法











